Суреттерді қосу/өшіру Қаріп A A A Фон Ц Ц Ц Ц Настройки
Интервал между буквами(Кернинг) СТАНДАРТНЫЙ СРЕДНИЙ БОЛЬШОЙ
Интервал между между строками ОДИНАРНЫЙ ПОЛУТОРНЫЙ ДВОЙНОЙ
Выберите шрифт ARIAL TIMES NEW ROMAN
МЕНЮ

Қазақстан Республикасы білім беру ісінің құрметті қызметкерлері

Ақпараттық - аналитикалық талдау

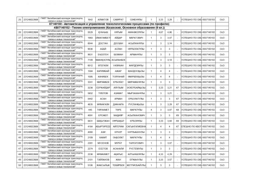
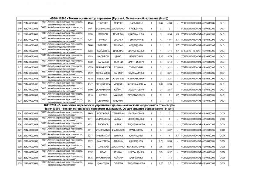
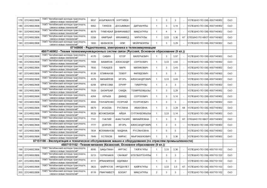
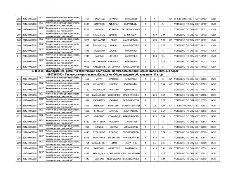
Үздік студенттер

Сайтта кімдер бар

Қазір 229 қонақ және Бірде бір тіркелген қолданушы жоқ сайтта отыр

статистика

Қолданушылар
3
Материалдар
493
Материалды қарау саны
406537

Авторлық құқық

© 2025 АҚТӨБЕ КӨЛІК, БАЙЛАНЫС ЖӘНЕ ЖАҢА ТЕХНОЛОГИЯЛАР КОЛЛЕДЖІ. Барлық құқықтары қорғалған.
Joomla! - GNU General Public License. лицензиясы бойынша таратылатын тегін программалық қамтама
© 2025 АҚТӨБЕ КӨЛІК, БАЙЛАНЫС ЖӘНЕ ЖАҢА ТЕХНОЛОГИЯЛАР КОЛЛЕДЖІ
website author: Idrissov K.ZH.